A tabela de furos é uma grade de medidas para cortes e perfurações no mundo da construção civil. Ela é integral para a estabilidade de roscas, porcas e brocas utilizadas na fabricação e montagem de peças (especialmente metálicas), uma vez que a dimensão desses componentes tende a ser a mesma ao redor do mundo.
Abaixo, você pode ver a tabela completa e algumas dicas para usá-la.
Leia também: Tabela de Chapa Perfurada – Principais Medidas
Tabela de furos
Levando em conta o diâmetro das brocas para furos roscados, a tabela de furos se divide em duas seções: uma para a rosca métrica de passo normal e uma para a rosca métrica de passo fino.
- Rosca métrica de passo normal

- Rosca métrica de passo fino

Brocas e furadeiras na tabela de furos
Se você está aqui provavelmente já sabe, mas não custa se familiarizar um pouco mais com as ferramentas envolvidas!
As brocas são instrumentos cortantes utilizados para fazer furos cilíndricos. No Brasil, são quase sempre acopladas a uma furadeira (ou berbequim), a qual faz com que a broca gire e corte o material, perfurando sua superfície.
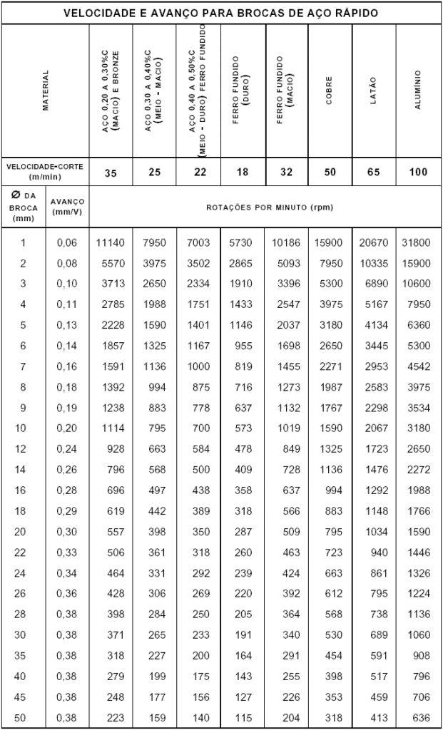
Dentre os modelos mais conhecidos no país podemos citar a broca tipo H, N e W, além das chatas e das helicoidais. Os primeiros geralmente se destinam à perfuração de materiais rígidos a baixas profundidades, enquanto os últimos podem compartilhar dois gumes de cortes. A seguir você pode ver um gráfico geral das propriedades técnicas das brocas de aço rápido.

Cuidados necessários
Na hora de colocar a mão na massa, algumas precauções precisam ser tomadas. Afinal de contas, lidar com equipamentos mecânicos de alta precisão de corte é algo arriscado que pode levar a sérios acidentes.
Algumas dicas de cautela são:
- usar óculos de proteção a todo momento;
- realizar o furo com a broca e velocidade adequadas;
- usar grampos para fixar pequenas peças, nunca as mãos;
- remover as rebarbas sobrantes com uma escova;
- usar brocas afiadas e novas;
- valorizar a precisão sobre a força na hora de perfurar;
- não operar a furadeira com a chave de mandril na posição de uso;
- testar furos menores sucessivos até atingir o tamanho desejado;
- obter fluido refrigerante para prolongar a vida útil das ferramentas.
Além disso, no caso da furadeira travar por algum motivo, é importante desligar a máquina primeiro e, para destravar, girar a broca no sentido contrário. É uma maneira simples e eficiente de não causar maiores danos ao seu equipamento ou projeto.
Encomende peças prontas na Bepex
A tabela de furos, como vimos, torna-se essencial para trabalhos manuais que envolvem uma montagem mais complexa. Mas que tal você já encomendar peças montadas e prontas para o uso com a nossa equipe?
Fabricante de metais desde 1991, a Bepex conta com profissionais especializados e entrega seus produtos em território nacional. Clique aqui para ver as melhores opções disponíveis de chapas metálicas, brises coloridos, forros e muito mais! Entre em contato conosco para discutirmos seu próximo projeto.